Também designado por relação 80-20, o diagrama ABC (ou curva de Pareto) é uma das mais famosas ferramentas de gerenciamento. Isso porque ele vem sendo amplamente adotada para tomadas de decisões em obras.
Assim, o controle de orçamentos, a avaliação de impactos, a priorização de redução de custos, e a classificação de insumos são exemplos de benefícios da aplicação dessa técnica.
– Como assim, João?
Veja bem, quando avaliamos todos os insumos, tarefas simultâneas ou outros fatores de um projeto, lidamos com diversos níveis de complexidades, grandes demandas e recursos limitados. Confrontá-los de uma só vez, além de ser um processo contraproducente de análise de fatores, geraria uma sobrecarga de trabalho DESNECESSÁRIA.
– Ah, vá ! Você tá dizendo que focar em 100% dos meus problemas é errado?
Não, não, vamos com calma. O que eu quero dizer é que analisar 100% dos problemas pode se tornar um trabalho desnecessário. Isso porque em vez de focar na totalidade dos problemas, podemos focar apenas naqueles que mais afetam nosso projeto.
Ora, todos vocês que estão lendo esse artigo são pessoas inteligentíssimas, certo? (Óbvio!)
Logo, precisamos traçar uma diretriz para atacar todos esses fatores de modo assertivo, eficiente e unívoco. Portanto, buscaremos priorizar as ações que nos trarão melhor resultado. Eis que apresento a vocês o maravilhoso Princípio de Pareto.
Por isso, segura minha mão e vamos iniciar mais uma jornada pelo conhecimento. 🙂
Ah, dica de amigo! Eu fiz um artigo demonstrando como construir uma curva ABC por meio de um exemplo prático e bem tranquilo. Pode conferir!
Considerações iniciais
Primeiramente, deixa eu contar uma historinha. Foi por meio de Joseph M. Juran que surgiu a primeira referência a essa técnica, em homenagem ao economista italiano Vilfredo Pareto.
Este, em 1897, demonstrou no seu Cours D’économie Politique que a renda em vários países se amoldava a uma mesma relação dada por:
\large \mathrm{ u=\frac{A}{(\upsilon+K)^a} }
Com isso, Pareto concluiu que apenas 20% da população detinha 80% das terras na Itália – outras fontes costumam citar que o estudo foi feito com referência à renda mundial, mas isso não nos interessa no momento.
O fato é que, dessa observação, o princípio se estendeu a praticamente todos os campos da ciência. Logo, generalizou-se a seguinte premissa:
Assim, a maioria das problemáticas se devem a um pequeno número de causas. Ou seja: poucas são significativas, mas a maioria é trivial.
E, meus amigos, essa é a premissa basilar que fundamentará todas as formas de se expressar esse processo de priorização. Portanto, atenha-se a essa ideia.
– Por que você diz isso, João?
Muito simples! Ao longo dos anos, esta análise 80-20 passou a abranger três categorias. Por isso falamos em “ABC”. Então, a faixa de valor que antes equivalia a 80% das causas (Faixa “A”) passou a variar de autor para autor. Por exemplo:
Relaxe, entraremos em mais detalhes sobre isso ao longo deste artigo.
Curva de Pareto ou Diagrama ABC– Aplicação
A despeito das diversas faixas que podem ser adotadas, tenha em mente que não há um rigor quanto aos valores escolhidos. Assim, desde que atendamos à ideia-chave do corolário estabelecido pelo Princípio de Pareto, o valor que atribuiremos a cada faixa será discricionário.
Inclusive, já vi considerarem a Faixa “A” como 50%. Obviamente, o tamanho da amostra deve ser estabelecido pela equipe de auditoria/controle considerando fatores como o escopo e o prazo da fiscalização; o valor do edital/contrato e os riscos de existência de irregularidades no empreendimento. Em regra, a amostra de componentes selecionados deve representar, ao menos, 80% do valor total do orçamento (ou contrato). Entretanto, lembre-se: não se trata de uma obrigação.
Em contratos com poucos componentes, é possível encontrar preços referenciais para mais de 90% do valor total da obra. Por outro lado, em contratos com quantidade grande de itens (acima de 1.000), a amostra selecionada pode alcançar cerca de 100 itens, representando somente 50% do valor total, pois a inclusão de mais itens não acrescenta benefício relevante.
Por exemplo:
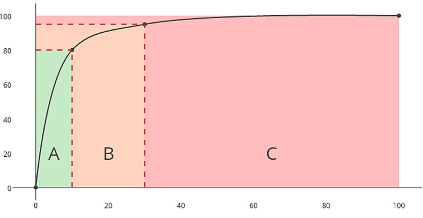
Imaginemos os itens do orçamento de uma obra. É aceitável que os itens mais importantes (Faixa “A”) representem de 10% a 20% do número total de itens (causa), mas que respondam por cerca de 80% do valor total do orçamento (consequência). Já a Faixa “B” pode abarcar cerca de 30% dos itens, correspondendo a cerca de 15% do valor total (itens de importância intermediária). Enfim, a Faixa “C”, que inclui aproximadamente 50% dos itens, contém apenas cerca de 5% do valor total orçado (itens menos importantes).
No exemplo acima, foi considerado:

Todavia, a ideia de priorização se manteve, porque nosso objetivo é determinar os itens que mais importam.
Para não dizer que sou uma pessoa ruim, vou te passar uma noção geral sobre o que significa cada faixa:
Faixa “A” da curva ABC:
Primeiramente, temos a faixa “A”. Ela inclui os itens mais significativos do orçamento, aos quais deve ser dado tratamento especial. Normalmente, é nessa faixa que se concentra a relação 80-20 para a seleção dos itens. Então, a curva “A” nos retornará qual a menor quantidade possível de itens (20%) que equivalerá a 80% do valor total do projeto.
[ebook-diagrama-pareto]Então, imagine que tenhamos 1.000 itens em nosso orçamento cujo valor total da soma dos itens fosse R$ 10.000.000,00. Logo, somente 200 desses itens equivalem a R$ 8.000.000,00. Ou seja, temos 800 itens que apenas somam 2.000.000,00.
Faixa “B” da curva ABC:
Contém os itens de relevância intermediária. Os elementos que compõem a curva “B” representam aqueles que não são tão significativos no custo. Porém, eles têm o condão de aproximar a somatória total dos custos a aproximadamente 95%. Ou seja, praticamente o valor de todo o projeto.
Considerando a adoção de uma faixa “B” de 15% do valor total para 30% dos produtos, vamos rever o exemplo anterior. Temos 1.000 itens e R$ 10.000.000,00 na soma total.
Portanto, temos que 300 é o número mínimo de itens que podem somar um total de R$ 1.500.000,00.
Faixa “C” da curva ABC:
Finalmente, aqui temos os componentes de menor importância relativa, que podem receber atenção circunstancial. Inicialmente, focar em qualquer dos itens que recebam essa classificação seria um trabalho contraproducente.
Exemplo
Vejamos, agora, esse conceito aplicado a uma situação distinta:
Imagine que o seu Departamento de Produção apresentava um consumo anual de 9.000 materiais diferentes. Precisa-se fazer um estudo para redefinir a sua política de estoques. Devido ao elevado investimento em estoques, convém identificar os grupos de materiais que deverão ter controles mais rígidos (classe A), intermediários (classe B) e mais simples (classe C).
Bem, sabemos que a curva ABC pode nos fornecer a ordenação dos materiais pelos respectivos valores de consumo anual. Assim, pelas análises, verifica-se que uma pequena porcentagem de itens da classe A é responsável por grande porcentagem do valor global (investimento anual grande). Como veremos à frente, trata-se de uma curva com grau de concentração forte.
Assim, adotando faixas de 70%-20%-10%, a análise do responsável pelo departamento resultou:
- Classe A: 8% dos itens (720) corresponderão a 70% do valor anual do consumo;
- Classe B: 20% dos itens (1.800) corresponderão a 20% do valor anual do consumo;
- Classe C: 72% dos itens (6.480) corresponderão a 10% do valor anual do consumo.
Portanto, verificou-se que, para controlar 90% do valor de consumo, basta estabelecer controles sobre 28% dos itens, ou seja, sobre os 2.520 primeiros itens (classes A e B) da curva ABC. A classe C, que se compõe dos 6.480 itens restantes, corresponde a apenas 10% do valor do consumo.
Concentração das curvas resultantes
Queridos, há outras peculiaridades quando ao traçado da Curva ABC: a concavidade da curva e seu grau de concentração.
Bem, é notório que TODAS as obras possuem particularidades; portanto, existirão diferentes curvas ABC que corresponerão à realidade de cada obra. Contudo, algumas análises rápidas podem ser feitas apenas pela mera observação dos incrementos da curva.

Se todos os itens possuem o memso valor e, consequentemente, a mesma participação, diz-se que não há concentração. Portanto, o nosso diagrama de pareto será representado por uma reta.
Agora, quando os valores mais elevados estão concentrados em um número muito pequeno de itens, então há uma concentração forte. Logo, o gráfico terá um acentuado crescimento para os primeiros itens (aqueles de maior valor). Em seguida, terá um trecho de crescimento relativamente muito menor (relacionado aos itens de menor valor)
Finalmente, situações intermediárias são representadas pelas curvas indicadas como de Média Concentração e Fraca Concentração.
Por fim, ressalta-se que, na Construção Civil, raramente uma curva ABC assumirá contornos diferentes de uma “Concentração Forte”.
Outros benefícios e recomendações
1) Deve-se elaborar uma curva ABC para o orçamento-base da licitação ou para a planilha contratual, conforme o caso, com o intuito de otimizar a verificação acerca da existência de sobrepreço no orçamento e a definição do ponto de equilíbrio econômico-financeiro inicial do contrato, por exemplo.
2) Em obras em andamento ou concluídas, nas quais tenha ocorrido mudança da planilha contratual original, também se deve fazer uma curva ABC para o orçamento atualizado do contrato, após eventuais aditivos, ou com as quantidades efetivamente executadas, no caso de obras acabadas sem formalização de aditivos. Assim, tal curva, quando comparada à curva ABC do orçamento inicial, permite identificar a ocorrência de jogo de planilha mediante a quebra do equilíbrio econômico-financeiro do contrato em desfavor da Administração Pública. Também permite identificar o montante atualizado do sobrepreço ou superfaturamento de um contrato.
3) Na elaboração da curva ABC, os serviços devem ser ordenados de acordo com a sua participação relativa no valor total das obras, em ordem decrescente, determinando o peso percentual do valor de cada serviço em relação ao valor do conjunto e, em seguida, o percentual acumulado desses pesos.
4) Por fim, as faixas “A” e B refletem os itens mais importantes da curva ABC, aos quais deve ser dado tratamento especial por parte da equipe de auditoria. Logo, a faixa C representa componentes de menor importância relativa, podendo receber atenção circunstancial, visto que aditivos podem aumentar seus quantitativos e valores, alterando suas posições na curva ABC.
Procedimentos
Basicamente, podemos seguir o seguinte passo a passo:
- Defina o objetivo da análise (por exemplo: índice de produtividade).
- Estratifique o objeto a analisar (índice de produtividade por: serviço; equipe; etapa; custo).
- Colete os dados, utilizando uma folha de verificação ou Excel, por exemplo.
- Em seguida, classifique cada item.
- Reorganize os dados em ordem decrescente.
- Logo após, calcule a porcentagem acumulada.
- Construa o gráfico, após determinar as escalas do eixo horizontal e vertical.
- Por fim, construa a curva da porcentagem acumulada. Ela oferece uma visão mais clara da relação entre as contribuições individuais de cada um dos fatores.
Palavras Finais
Por meio do princípio de pareto, temos todas as ferramentas para perceber a clara descompensação existente entre todas as causas e os efeitos. Então, nos guiará para pelo estudo das paridades esforço-resultado e ação-objetivo.
Finalmente, na construção civil, podemos citar dois autores que abordam esse tópico de modo direcionado. São eles Aldo Dórea Mattos e Carl V. Limmer.
Bem, vou parar por aqui para não ficar muito extenso. Tem alguma dúvida? Então deixa nos comentários, que eu respondo.
Abraços do João

Engenheiro Civil, ex-Griffon (MWSU), SunDevils (ASU), judoca e pseudo-nadador. Pós-graduando em Gerenciamento de Obras e Tecnologia da Construção.
João, parabéns… excelente artigo, me ajudou muito…muito obrigado…te desejo muito sucesso
Obrigado, Marco!
Se tiver qualquer dúvida sobre este tema ou aecrca de outros assuntos, só falar. Sucesso!
qual diferença entre concentração forte e nenhuma concentração ? qual dos dois casos é mais favorável?